☀Semi Circle:
A half circle is a half part of a full circle

In above figure the shape ‘abcoa’ is a half circle of radius R.
O is center of the circle and its Central Angle is ∠aOc = 180°
(a) Perimeter v/s Circumference:
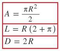
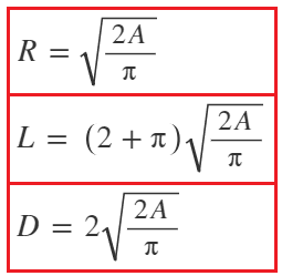
The peremeter of any shape is the total length of all its sides. The circle have infinite sides, So its shape’s total lenght is called circumference(L). We can calculate the Radius(R), Diameter(D), Circumference(L) and Area(A) of a semi circle if any one of its parameter is given.
(b) Semi Circle Calculator:
Semi Circle Calculator
(c) Semi Circle Formulae:
- If Circle Radius(R) is given:
- If Circle Diameter(D) is given:
- If Circle Area(A) is given:
- If Circle Circumference(L) is given:



